Как сделать мелкозаглубленный ленточный фундамент своими руками. Строительство и расчет фундаментов мелкого заложения для дома
Ленточный фундамент наиболее распространенный тип основания для возведения дома. Поэтому с ним все понятно, а вот чем от него отличается мелкозаглубленный (МЗЛФ) - фундамент мелкого заложения, как рассчитать и как сделать?
Характеристики – конструктивный принцип действия
Мелкозаглубленный ленточный фундамент или просто МЗЛФ по способу укладки похож на своего собрата, однако имеет важные отличия:
- глубина закладки фундамента до 700 мм;
- располагается над зоной промерзания почвы;
- предназначен для обустройства на вспученных (пучинистых) грунтах.
Главная особенность мелкозаглубленного ленточного фундамента заключается в том, что он дает возможность нивелировать морозное пучение грунта. Это связано с тем, что несмотря на общую жесткость конструкции МЗЛФ, вместе с весом всего строения, движется вверх-вниз в зависимости от времени года. Поскольку фундамент углублен не сильно, а смещается равномерно, то, следовательно, он не разрушается от таких колебаний.
Схема устройства мелкозаглубленного ленточного фундамента
- Песчано-гравийная подушка
- Лента фундамента
- Слой гидроизоляции
- Вертикальная (или обмазочная) гидроизоляция
- Арматура (диаметр 12)
- Арматура (диаметр 8)
- Цоколь
- Стена
Где можно использовать - применение
Ленточный мелкозаглубленный фундамент подходит для строительства низкоэтажных жилых домов и других сооружений из тех материалов, которые не создадут значительного давления на подошву фундамента. К таким сооружениям и материалам относят:
- бревенчатые срубы;
- ячеистые бетоны – пенобетон, газосиликатные блоки;
- облегченная кладка кирпича;
- каркасно-щитовые постройки.
При обустройстве фундамента большей ширины на нем можно возводить тяжелые дома из бруса или бревна. Но в этом случае грунт будет промерзать на меньшую глубину и есть вероятность деформирования фундамента. Таким образом, если планируется постройка монументального здания – лучше обустроить ленточный монолитный фундамент.
При этом следует знать, что увеличение ширины ленты мелкозаглубленного фундаменты делает возможным строительство более тяжелых домов с мансардой. Большая ширина фундаментной ленты (соответственно, и цоколя) способствует снижению глубины промерзания грунта в пространстве под полом.
Что следует учесть при устройстве фундамента мелкого заглубления
- Тип грунта
Устраиваются мелкозаглубленные фундаменты на пучинистых грунтах
Запрещена заливка МЗЛФ на биогенных органических грунтах, например, торфяных, сапропельных (отложения пресноводных водоемов), а также на глине. На фото видно, что уже их внешний вид не сулит ничего хорошего.
- Уровень подземных вод
Чем ближе вода находится к поверхности земли, тем более неустойчивым будет МЗЛФ
- Нагрузка на фундамент
- Перепад высоты
Если рельеф местности характеризуется значительным перепадом высоты (дом на склоне), то устройство мелкозаглубленного ленточного фундамента на нем достаточно проблематично. В таком случае обустраивается обычный ленточный фундамент или выравнивается значительная площадь под МЗЛФ. С точки зрения затрат времени и денежных средства – оба варианта равноценны.
- Глубина заложения
Она представляет собой высоту от нижней точки фундамента, так называемой подошвы – до нулевой отметки (поверхности земли).
- Климат (глубина промерзания почвы)
Достаточно распространено среди строителей закладка мелкозаглубленного ленточного фундамента на высоте, которая рассчитывается по формуле – глубина промерзания минус 20%. Так можно быть уверенным, что фундамент будет подниматься вместе со строением.
Минимальная глубина мелкозаглубленного ленточного фундамента регламентируется СНиП II-Б.1-62.
Глубина промерзания грунта для некоторых городов России приведена в таблице.
Также можно воспользоваться калькулятором расчета глубины промерзания грунта.
Как рассчитать нагрузку на ленточный мелкозаглубленный фундамент
Прежде всего, следует учесть:
- конструктивные особенности строения;
- высоту здания;
- планируемое количество этажей;
- материалов, из которого будут возводиться стены;
- вес покрытий;
В целом, всю нагрузку можно поделить на постоянную (рассчитывается до начала строительства) и переменную. Последняя зависит от количества жителей, веса мебели и т.п.
- глубина траншеи;
- толщина подушки;
- параметры ленты фундамента;
- качество бетона.
Можно дополнительно воспользоваться калькулятором расчета фундамента
Расчет мелкозаглубленного ленточного фундамента
1. Глубина обуславливается близостью грунтовых вод и глубиной промерзания.
2. Высота над поверхностью грунта = 4х ширину.
Полезно знать. Высота над землей меньше или равна глубине.
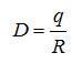
3. Ширина определяется по формуле:
Где, D – ширина подошвы фундамента;
q – расчетная нагрузка на фундамент, т/м;
R – расчетное сопротивление грунта, т/м.кв. Этот показатель,
для глубины заложения в 300 мм, приведен в таблице.

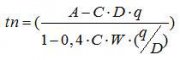
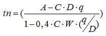
4. Толщина подушки определяется из условий прочности грунта местности.
Для сильно пучинистых грунтов применяется формула:
Где, tn – толщина подушки;
А, С, W – коэффициенты;
А и С – определяются по таблицам ниже.
А W = 0,1 или 0,06 м.кв./т для отапливаемых и не
отапливаемых сооружений.

Над чертой – для МЗЛФ глубиной заложения 300 мм, под чертой – для незаглубленных фундаментов.

Над чертой – для МЗЛФ глубиной заложения 300 мм, под чертой – для незаглубленных фундаментов.
Сделайте расчет МЗЛФ по обеим формулам и отдайте предпочтение большему значению.
Стоимость мелкозаглубленного ленточного фундамента
Варьируется в пределах 4-6 тыс. руб. за погонный метр. Цена зависит от ширины, высоты, количества перемычек и размеров, например, стоимость возведения фундамента дома 6х6 обойдется в 70-80.000 руб., а 10х10 = 120-150.000 руб.
Виды мелкозаглубленного ленточного фундамента (мелкого заложения)
В зависимости от вида МЗЛФ будет отличатся технология его устройства. Поэтому, следует коротко ознакомится с главными из них:
Ленточный монолитный мелкозаглубленный фундамент
Заливается непосредственно на строительной площадке, в результате получается бесшовная лента

Ленточный блочный мелкозаглубленный фундамент
Блоки покупаются в готовом виде, или изготавливаются отдельно, а на стройплощадке только собираются. В качестве крепежного материала используется раствор цемента.
Каждый из них имеет свои достоинства и недостатки. Но, в целом, срок эксплуатации второго в три раза меньше, нежели первого. Поэтому, в этой статье мы остановимся подробно на таком виде, как монолитный МЗЛФ.
Технология МЗЛФ или как сделать мелкозаглубленный ленточный фундамент своими руками
Инструкция воспринимается проще, если вся работа разбита на четкие этапы. Не будем отступать от этой схемы. Итак, устройство ленточного мелкозаглубленного фундамента следующие:
Подготовительный этап
Будем считать, что до этого этапа вы сделали проект дома, определились с качеством грунта и видом фундамента, а также учли все изложенное выше.
1. Место, где планируется заливать фундамент, освобождается от всего лишнего.
2. На рабочее место доставляют весь необходимый материал и инструмент. Причем желательно сразу определить место дислокации всего этого добра, чтобы потом не тратить время на его поиски.
Разметка под ленточный фундамент
Важность этого этапа сложно переоценить. Поэтому нужно не только «прикинуть» где будете рыть траншею, но и сделать ориентиры при помощи веревки (если есть возможность, то лазерным нивелиром будет лучше).
Как сделать разметку под фундамент:
- произвести замеры по периметру;
- забить маячки по углам;
- проверить диагональ между углами;
- при необходимости переместить маячки;
- сделать отмостку на расстоянии не менее метра от маячков;
- на доски отмостки закрепить веревку, которая будет показывать края фундамента.
Более наглядно процесс разметки представлен на схеме
Как выкопать траншею под фундамент
Траншея для фундамента – это полоса вынутого грунта.
Глубина траншеи определяется глубиной мелкозаглубленного ленточного фундамента и подушки.
Например, наиболее распространенной глубиной является 300 мм, толщина подушки составляет в зависимости от качества почвы около 200 мм. Тогда глубина траншеи будет составлять 500 мм.
Чтобы края траншеи не осыпались делайте небольшие откосы.
Учитывая тип грунта лучше приступать к заливке фундамента немедленно. В противном случае он осыплется, и часть работы придется повторить.
Подушка под ленточный фундамент
Песчаная подушка под фундамент – это смесь из песка и щебенки. Их можно смешивать, но проще высыпать послойно. Каждый слой смачивать водой и хорошо утрамбовывать. Поскольку структура подушки получается достаточно пористой, её от основного фундамента отделяют гидроизоляционной пленкой.
В принципе, основанием для ленточного фундамента мелкозаглубленного может служить естественный грунт, но его несущая способность гораздо ниже предложенной песчано-гравийной подушки.
Опалубка под ленточный фундамент
Устанавливают всю конструкцию опалубки вертикально. Подпорки крепят с шагом 500-600 мм. Они нужны для того, чтобы под весом бетона опалубка не развалилась и не перекосилась.
Полезный совет.
Старайтесь, чтобы доски прилегали друг к другу плотно и без резких перепадов. Тогда вы избежите работ по выравниванию поверхности готового фундамента под облицовку.
Заливка ленточного фундамента
Получение бетона вопрос индивидуальный – можно купить (вернее, заказать) и бетон доставят миксером или изготовить самостоятельно, причем задействовав самодельную бетономешалку (и второй вариант, как сделать бетономешалку из стиральной машины).
Что касается заливки бетона, то процедура стандартная для таких работ - в готовую опалубку заливается бетон.
Заливая бетон старайтесь отбивать его через каждые 40-50 мм. высоты. Это позволит «выгнать» пузырьки воздуха, которые могут в будущем разрушить бетон.
Армирование мелкозаглубленного ленточного фундамента
Если на фундамент не предполагается сильная нагрузка – этот этап можно пропустить. Но все же, с арматурой МЗЛФ будет гораздо прочнее.
Рекомендуем полезный доп материал - арматура для фундамента (характеристики, виды, расчет)
Правильное армирование ленточного фундамента мелкого заложения:
- Залить стартовый слой. Этот слой должен составлять около 30 % общей высоты МЗЛФ. Цель этого действа – создать ровную поверхность для укладки металла, а также защитить его от влаги.
- Вязка арматуры для ленточного фундамента. Для этого нужно связать ее в блоки и уложить в траншею.
- Залить бетон до нужной высоты.
Пример арматурного каркаса для ленточного фундамента

Пример вязки арматуры проволокой.
На примере видно, что связка выполнена проволокой. Это относительно новый подход к соединению, ведь более привычный – контактная сварка.
- требуют наличия сварочного аппарата и специалиста, умеющего выполнять сварочные работы;
- из-за высокой температуры сварочной дуги теряется прочность закаленного стержня арматуры;
- сварочные работы не применимы для арматуры диаметром более 20 мм;
- Самое главное - увеличение жесткости армокаркаса. Поскольку
мелкозаглубленный ленточный фундамент «играет» в зависимости от сезона (являясь, своего рода, гибким фундаментом) – то
повышенная жесткость приведет к его разрушению. И как следствие, потребуется ремонт фундамента или полная замена.
Так будет выглядеть уложенная арматура
Защита бетона
Чтобы избежать пересушивания и образования трещин, залитый в опалубку бетон накрывается пленкой и периодически увлажняется водой.
Утепление мелкозаглубленного ленточного фундамента
- Сразу после того, как фундамент набрал нужную прочность, следует начинать строительство дома. Старайтесь сделать все работы в один сезон. Потому что грунт под фундаментом промерзнет, и МЗЛФ, не придавленный весом дома – деформируется.
- Если вы не можете начать строительство укройте МЗЛФ и территорию возле него (200-300 мм) соломой или опилками. Чтобы защитить грунт от промерзания.
- Во процессе эксплуатации строения старайтесь насаживать возле мелкозаглубленного ленточного фундамента многолетние растения и кустарники. Они будут способствовать снижению глубины замерзания почвы. А также смогут задержать значительное количество снега, который также снизит глубину промерзания.
Мелкозаглубленный ленточный фундамент видео
Заключение
В этой статье мы разобрались, как сделать мелкозаглубленный ленточный фундамент своими руками. Разобравшись детально с каждым из этапом, вы сможете не допустить досадных промахов и залить фундамент на котором ваш дом простоит не одно десятилетие. Самое главное, не забывайте, что прежде чем приступить к строительству закажите геологические исследования, в противном случае, есть риск, что грунт на вашем участке не предназначен для устройства МЗЛФ.
Метки: Фундамент Расчет
60 803
0
-
Строительство дома из арболита (арболитовых блоков) – технология возведения, от фундамента до крыши
Такая ситуация, мне начали строить дом из арболита, но наделали кучу ошибок по кладке (ниже фото). Сейчас хочу взыскать с этих криворуких строителей компенсацию. По самому материалу претензий нет, -
Утепление входной металлической двери – правильная теплоизоляция своими руками
Бюджетный способ утеплить китайскую дверь от дяди Вани. В отличие от обычной пустотелой двери, в китайской хотя бы бумага внутри. Конечно, эти соты из прессованного картона мало помогут в мороз, но -
Входные двери с терморазрывом – металлические термодвери для частного дома
Установил термодверь в декабре 2015 года. До этого стояла стальная дверь, утепленная внутри полотна и по периметру. Температура в коридоре была ниже, нежели в комнатах (коридор отапливаемый). После -
Монтаж водосточной системы своими руками – установка водостоков для крыши
Пытались помочь в рамках своей компетенции.Раз уж комплектующие Деке, то разумно будет согласовать эти вопросы с ними.Да, в скором будущем на сайте будет отдельный материал по расчетам водосточной -
Монтаж водосточной системы своими руками – установка водостоков для крыши
У Docke эти странные требования заложены в pdf инструкцию по монтажу водосточной системы. Формулу я вывел сам, это не сложно, задачка в пределах школьного курса геометрии. Дело в том, что я купил их -
Монтаж водосточной системы своими руками – установка водостоков для крыши
Не уверенны, что сможем дать однозначный ответ насчет градусов. Откуда вообще эта формула, на сайте Деке не нашли. Спросили у ребят, которые профильно занимаются монтажом водостоков. Сказали, что -
Монтаж водосточной системы своими руками – установка водостоков для крыши
Интересно, что те же Дёке, несмотря на свои рекомендации, дают фотографии своих монтажных работ по крутым скатам, которые явно им противоречат (фото). Там скаты смотрят в жёлоб, а не поверх него. Моя -
Монтаж водосточной системы своими руками – установка водостоков для крыши
Спасибо за развёрнутый ответ, но он не во всём разъясняет проблему, поэтому уточню вопрос. На прилагаемых рисунках, взятых из рунета, показано то самое поперечное сечение, о котором я говорю, с -
Установка забора из сетки рабицы своими руками – пошаговая инструкция
В описанном вами случае, нужно использовать квадратный профиль с сечением не менее 100х100 мм. Ввиду того, что планируется посадка вьющихся растений желательно устанавливать одинаковый профиль по -
Как сделать калитку из сетки рабицы для дачи своими руками
Выбирается индивидуально, но согласно логике, распашная калитка и ворота из рабицы (как и любые другие) должны открываться наружу. Объясняется несколькими причинами. Первая – при экстренной ситуации,































